Si è svolta nel pomeriggio del 19 novembre, presso la sede dell’associazione in piazza Mazzini, l’estrazione dei numeri vincenti della lotteria organizzata da Igea prevenzione, salute, vita ODV, iniziativa nata per sostenere l’acquisto di un apparecchio radiologico portatile destinato alle radiografie domiciliari in Valsesia e Valsessera.
All’estrazione ha partecipato anche il Comandante della Polizia Municipale, Massimiliano Ciceri.
La Presidente Maria Marcon ha espresso profonda soddisfazione per il risultato ottenuto:
«È stato il coronamento di un’avventura durata tutta l’estate, che ha visto le nostre volontarie impegnate nelle feste patronali, in ospedale e nei luoghi di aggregazione. La risposta è stata straordinaria: 22.100 biglietti venduti, un segnale di grande sensibilità verso la salute del territorio».
La lotteria rientrava nella campagna “1 euro per la salute, un bene da difendere, un diritto da promuovere”.
Premi di prestigio grazie agli sponsor
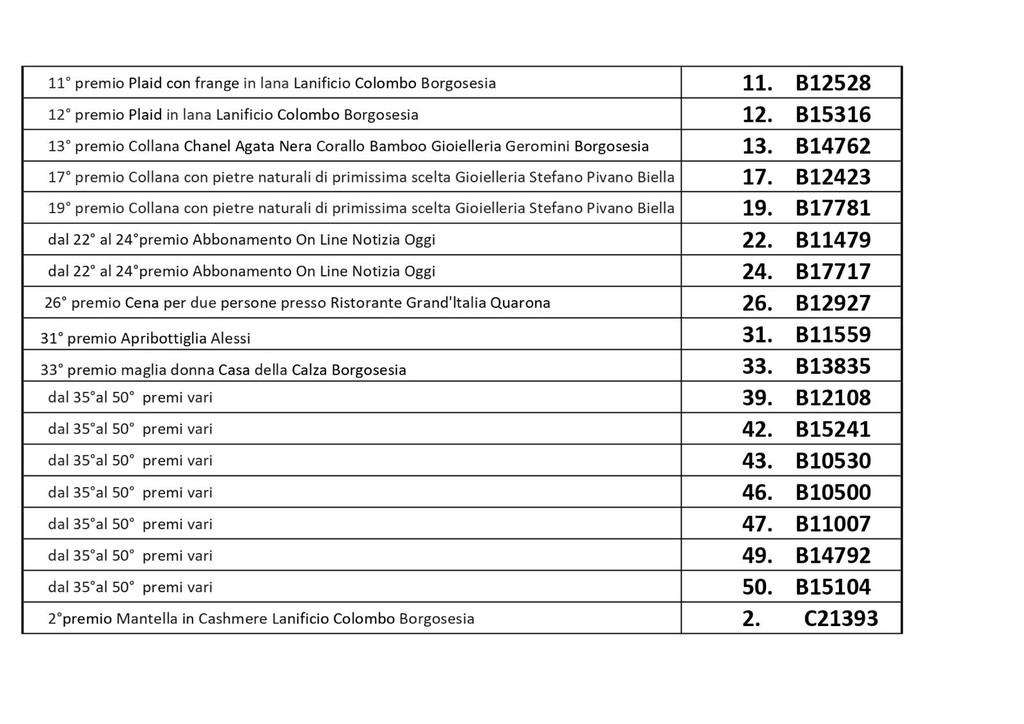
Cinquantatré premi sono stati assegnati ai numeri estratti, con riconoscimenti messi a disposizione da numerosi sponsor del territorio.
Il primo premio, offerto dalla Gioielleria Boglietti di Biella, era un raffinato paio di orecchini in oro, brillanti e corallo.
Secondo e terzo premio – una mantella e una tuta in cachemire – sono stati donati dal Lanificio Colombo.
A seguire, i vincitori potranno godere di abbonamenti a giornali locali e alla stagione teatrale di Borgosesia, cene nei ristoranti e altri premi messi a disposizione dalle attività valsesiane.
«Ringrazio tutti gli sponsor per la generosità – ha aggiunto Marcon – hanno reso preziosa questa lotteria e dato un segnale concreto di vicinanza».
Raccolta fondi completata: ora si passa alla fase finale del progetto
Il ricavato della lotteria – 22.100 euro – ha permesso di raggiungere la cifra necessaria per acquistare l’apparecchiatura radiologica portatile destinata ai servizi domiciliari.
«Siamo pronte per la fase conclusiva – ha confermato la Presidente – presto potremo annunciare importanti novità. Il nostro obiettivo resta quello di migliorare le dotazioni dell’ospedale e i servizi sanitari per i cittadini: la salute è un bene da difendere e un diritto da promuovere».
Il ringraziamento alle volontarie
Un ruolo decisivo è stato svolto dal gruppo volontarie di Igea, presenti per tutta la durata della raccolta.
«Ringrazio tutte – conclude Marcon – e in particolare la Vicepresidente Carmela Marsilla, responsabile delle volontarie e simbolo dello spirito di solidarietà che anima la nostra associazione».













